Nama : Hafez Ahmad Taury
NIM : 21090114140118
A. Pengertian Statistika
Ada beberapa pengertian yang dikemukakan oleh beberapa ilmuwan
yaitu Fraun dan William, Croxton dan Conden, Frof. Yan Lun Chou, Boddingion
sebagainya. Pada prinsipnya statiska sangat penting untuk perencanaan dan
evaluasi. Pada satuan pelajaran ini pengertian statiska terdiri dari 2 jenis
yaitu pengertian statistika secara sederhana dan secara ilmu. Secara sederhana statiska
adalah himpunan keterangan (data) berbentuk angka baik sudah tersusun, maupun
belum tersusun dalam daftar atau tabel. Secara ilmu statistika adalah suatu
ilmu yang mempelajari cara pengumpulan, pengolahan, penyajian dan analisis data
serta cara pengambilan kesimpulan secara umum berdasarkan hasil penelitian yang
tidak menyeluruh.
B. Kegunaan
Statistika
Dalam kehidupan sehari-hari banyak sekali kegunaan statistika
antara lain adalah adalah dalam bidang penduduk, bidang olah raga, bidang
ekonomi dan bidang perusahaan. Dalam bidang penduduk statistika menyajikan data
tentang jumlah penduduk yang dibedakan berdasarkan jenis kelamin dan disajikan
dalam bentuk grafik. Dalam bidang olahraga statistika menyajikan data tentang
hasil pertandingan suatu turnamne perolehan medali suatu kontingen yang
disajikan dalam bentuk tabel atau grafik. Dalam bidah ekonomi statistikak
menyajikan data tentang perubahan indeks harga saham suatu perusahaan dan juga
jumlah ekspor maupun impor. Dalam bidang perusahaan stastistika menyajikan data
tentang jumlah produksi dan jumlah karyawan suatu perusahaan.
C. Sejarah Singkat Statistika
Kata ”Statistik” berasal dari kata ”Status” dalam Bahasa yunani
yang berarti ”keterangan ” yang dikemukakan oleh Gulfriwi Achenwuil pada tahun
1771-1772. Semula statistik diartikan sebagai keterangan tentang jumlah
penduduk. Sebelum abad ke-18 negara-negara yang telah mengadakan catatan
tentang penduduk adalah :
·
Babilon
·
Mesir
·
Roma
Pada tahun 1500
Inggris menerbitkan catatan tentang jumlah kematian. Pada tahun 1632 John
Ground mengadakan prediksi (ramalan) tentang jumlah kematian akibat berbagai
penyakit. Inilah awal mula analisa statiska.
D. Penggolongan Statistika
Statistikan digolongkan menjadi 2 macam yaitu statistika
deskriptif dan statistika induktif. Statistika Deskriptif adalah kegiatan
statistika berupa pengumpulan data, pengolahan data dan penyajian data dalam
bentuk tabel, grafik atau diagram. Contoh statistika Deskriptif adalah
distribusi frekuensi, ukuran pemusatan, dan ukuran penyebaran. Statistika
Induktif/Inferensial adalah kegiatan statistika yang berhubungan dengan
penarikan kesimpulan. Contohnya adalah melakukan penaksiran, membuat prediksi
E. Fungsi Statistika
Penggunaan statistika sangat luas mencakup semua aspek sehingga
statistika sangat penting digunakan sebagai alat pengawasan dan perencanaan.
Beberapa fungsi statisika diantaranya adalah sebagai berikut :
1. Menyederhanakan
2. Menggambarkan
data
3. Perbandingan
4. Memperluas
pengalaman
5. Petunjuk
Perumusan kebijaksanaan
6. Meramalkan
suatu kondisi mendatang secara ilmiah
- Menyatakan hubungan
sebab akibat
F. Klasifikasi Data
A.
Pengertian Data
Data
adalah himpunan keterangan dari serangkaian objek penyelidikan atau observasi.
Sample adalah sebagian dari anggota objek penyelidikan atau observasi. Populasi
adalah keseluruhan dari anggota objek penyelidikan atau observasi
B.
Jenis Data Menurut Cara
Memperolehnya
Jenis
data dibagi menjadi 2 yaitu data primer dan data sekunder. Data primer adalah secara langsung diambil dari objek
penelitian oleh peneliti perorangan maupun organisasi. Contohnya adalah
mewawancarai langsung penonton bioskop 21 untuk meneliti preferensi konsumen
bioskop. Data sekunder adalah data yang didapat tidak secara langsung dari
objek penelitian. Peneliti mendapatkan data yang sudah jadi yang dikumpulkan
oleh pihak lain dengan berbagai cara atau metode baik secara komersial maupun
non komersial. Contohnya adalah pada peneliti yang menggunakan data statistik
hasil riset dari surat kabar atau majalah.
C.
Macam-Macam Data
berdasarkan Sumber Data
Macam
data berdasarkan sumber data dibagi menjadi 2 yaitu data internal dan data
eksternal. Data interlan adalah data yang menggambarkan situasi dan kondisi
pada suatu organisasi secara internal. Sebagai contoh adalah data keuangan,
data pegawai, data produksi, dan lain-lain. Data eksternal adalah data yang
menggambarkan situasi serta kondisi yang ada di luar organisasi. Contohnya
adalah dta jumlah penggunaan suatu produk pada konsumen, data tingkat
preferensi pelanggan, pesebaran penduduk dan lain-lain.
D.
Klasifikasi Data
Berdasarkan Jenis Data
Klasifikasi
data berdasarkan jenis data dibagi menjadi 2 yaitu adalah data kuantitatif dan data kualitatif. Data kuantitatif
adalah daya yang dipaparkan dalam bentuk angka-angka. Data kulitatif adalah
data yang disajikan dalam bentuk kata yang mengandung makna.
E. Pembagian Jenis Data Berdasarkan Sifat Data
Pembagian jenis data berdasarkan sifat data dibagi menjadi 2
yaitu data diskrit dan data kontinyu. Data diskrit adalah data yang nilainya
adalah bilangan asli. Data kontinyu adlaah data yang nilainya ada pada suatu
interval tertentu atau berada pada nilai satu ke nilai yang lainnya.
F. Jenis Data Menurut Waktu Pengumpulan
Jenis data menurut waktu pengumpulan dibagi menjadi 2 yaitu data
cross section dan data time series. Data
cross section adalah data yang menunjukan titik waktu tertentu. Data time
series adalah data yang menggambarkan sesuatu waktu atau periode secara
historis
G. Persyaratan Data
Untuk memperoleh data yang dipertanggungjawabkan, maka syaratnya
adalah data tersebut harus valid, reliable, dan objektif. Valid adalah data
yang benar dan dapat diterima dalam suatu system karena bersumber dari hasil
pengukuran dengan perhitungan yang ilmiah. Reliable adalah data yang konsisten
sehingga tetap dapat digunakan walaupun ditempat yang berbeda. Objektif adalah
sesuai dengan kenyataan yang ada.
Jangkauan (J)
Dalam statistika, jangkauan merupakan selisih antara
nilai tertinggi dari sebuah kumpulan data dengan nilai terendah dari sebuah
kumpulan data. Jangkauan menunjukkan seberapa tersebarnya nilai-nilai dalam
suatu deret. Jika jangkauannya merupakan angka yang besar, maka nilai-nilai
dalam deret tersebut sangat tersebar, jika jangkauannya merupakan angka yang
kecil, maka nilai-nilai dalam deret tersebut dekat satu sama lain.
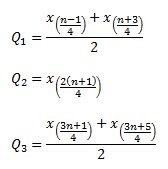
Quartil
Quartil adalah nilai-nilai yang membagi data yang telah
diurutkan ke dalam 4 bagian yang sama besar. Dalam menentukan letak Quartil
data tunggal, kita harus melihat kondisi jumlah data (n) terlebih
dahulu. Kondisi jumlah data (n) tersebut dan penghitungan kuartilnya
adalah sebagai berikut.
·
Quartil untuk jumlah data (n) ganjil dan jika n
ditambah 1, hasilnya habis dibagi 4.
·
Quartil untuk jumlah data (n) ganjil dan jika n
ditambah 1, hasilnya tidak habis dibagi 4.
·
Quartil untuk jumlah data (n) genap dan habis dibagi 4.
Quartil untuk jumlah data (n) genap dan tidak habis dibagi 4.





Tidak ada komentar:
Posting Komentar